21. [Linked List] sort a list - asc
148. Sort ListMedium10K295Companies
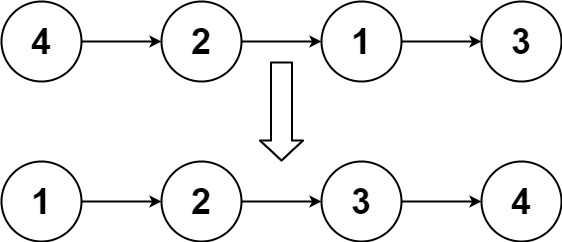
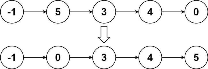
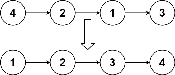
Given the head of a linked list, return the list after sorting it in ascending order.
Example 1:

Example 2:

Example 3:
Constraints:
The number of nodes in the list is in the range
[0, 5 * 104].-105 <= Node.val <= 105
Follow up: Can you sort the linked list in O(n logn) time and O(1) memory (i.e. constant space)?
Last updated