20. [Linked List] Reverse Linked List II
92. Reverse Linked List IIMedium9.3K420Companies
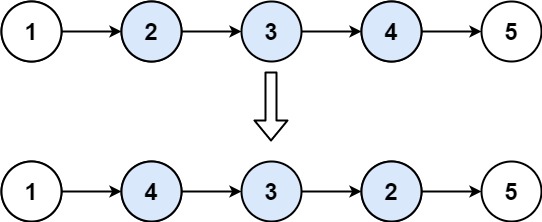
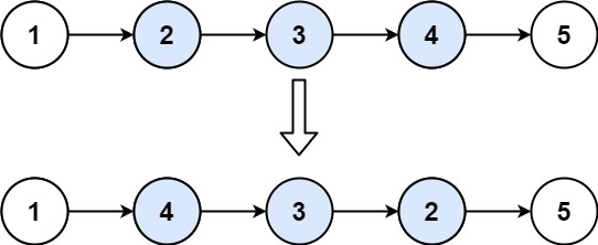
Given the head of a singly linked list and two integers left and right where left <= right, reverse the nodes of the list from position left to position right, and return the reversed list.
Example 1:

Input: head = [1,2,3,4,5], left = 2, right = 4
Output: [1,4,3,2,5]Example 2:
Input: head = [5], left = 1, right = 1
Output: [5]
Constraints:
The number of nodes in the list is
n.1 <= n <= 500-500 <= Node.val <= 5001 <= left <= right <= n
Follow up: Could you do it in one pass?
Time: O(N)
Space: O(1)
/**
* Definition for singly-linked list.
* function ListNode(val, next) {
* this.val = (val===undefined ? 0 : val)
* this.next = (next===undefined ? null : next)
* }
*/
/**
* @param {ListNode} head
* @param {number} left
* @param {number} right
* @return {ListNode}
*/
var reverseBetween = function(head, left, right) {
if (left === right)
return head;
const dummy = new ListNode(-1);
dummy.next = head;
let start = head;
let end = head;
let curr = dummy;
let cnt = 0;
while (curr !== null) {
if (cnt === left - 1) {
start = curr;
}
if (cnt === right) {
end = curr;
}
curr = curr.next;
cnt++;
}
let h = start.next;
let t = end.next;
curr = h;
let prev = t;
while (curr !== null && curr !== t) {
const next = curr.next;
curr.next = prev;
prev = curr;
curr = next;
}
start.next = prev;
return dummy.next;
};Last updated