16. [Linked List]: swap nodes in pairs
24. Swap Nodes in Pairs
Medium10.6K387Companies
Given a linked list, swap every two adjacent nodes and return its head. You must solve the problem without modifying the values in the list's nodes (i.e., only nodes themselves may be changed.)
Example 1:

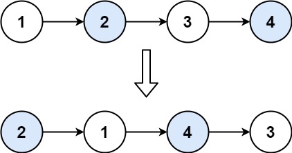
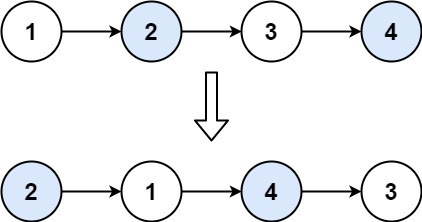
Input: head = [1,2,3,4]
Output: [2,1,4,3]Example 2:
Input: head = []
Output: []Example 3:
Input: head = [1]
Output: [1]
Constraints:
The number of nodes in the list is in the range
[0, 100].0 <= Node.val <= 100
/**
* Definition for singly-linked list.
* function ListNode(val, next) {
* this.val = (val===undefined ? 0 : val)
* this.next = (next===undefined ? null : next)
* }
*/
/**
* @param {ListNode} head
* @return {ListNode}
*/
var swapPairs = function(head) {
const dummy = new ListNode(-1, null);
dummy.next = head;
let prev = dummy;
let curr = head;
while (curr !== null && curr.next !== null) {
const next = curr.next;
const nextnext = curr.next.next;
prev.next = next;
next.next = curr;
curr.next = nextnext;
prev = curr;
curr = nextnext;
}
return dummy.next;
};Last updated