12. Minimum depth in a binary tree
111. Minimum Depth of Binary TreeEasy5.8K1.1KCompanies
Given a binary tree, find its minimum depth.
The minimum depth is the number of nodes along the shortest path from the root node down to the nearest leaf node.
Note: A leaf is a node with no children.
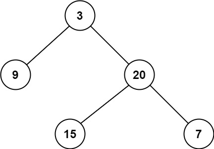
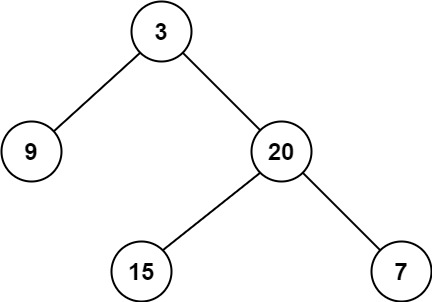
Example 1:

Input: root = [3,9,20,null,null,15,7]
Output: 2Example 2:
Input: root = [2,null,3,null,4,null,5,null,6]
Output: 5
Constraints:
The number of nodes in the tree is in the range
[0, 105].-1000 <= Node.val <= 1000
DFS
Time: O(V)
Space: O(H), recursion stack
/**
* Definition for a binary tree node.
* function TreeNode(val, left, right) {
* this.val = (val===undefined ? 0 : val)
* this.left = (left===undefined ? null : left)
* this.right = (right===undefined ? null : right)
* }
*/
/**
* @param {TreeNode} root
* @return {number}
*/
// DFS
var minDepth = function(root) {
if (root === null) return 0;
if (root.left === null && root.right === null) return 1;
return findMinDepth(root, 1);
};
function findMinDepth(node, step = 1) {
if (node === null) {
return 0;
}
if (node.left === null && node.right === null) {
return step;
}
const left = findMinDepth(node.left, step + 1);
const right = findMinDepth(node.right, step + 1);
// console.log(left, right);
if (left === 0) return right;
if (right === 0) return left;
return Math.min(left, right);
}BFS
Time: O(V), height of tree
Space: O(v), v is num of nodes
// BFS
var minDepth = function(root) {
if (root === null) return 0;
if (root.left === null && root.right === null) return 1;
const q = [[root, 1]];
while (q.length > 0) {
const [node, step] = q.shift();
if (node.left === null && node.right === null) {
return step;
}
if (node.left !== null) {
q.push([node.left, step + 1]);
}
if (node.right !== null) {
q.push([node.right, step + 1]);
}
}
return 0;
};Last updated